Etamaster EM 150L EC 01 Ø 150 - Ø 400
Výkonný potrubní ventilátor s maximální účinností a dlouhou životností. Díky robustní konstrukci má teplotní odolnost až 45 °C.
Vlastní produkty
z naší výroby
Provádíme montáže
i jádrové vrtání
2 prodejny v Praze
Palmovka a Žižkov
Ověřený obchod
hodnocení 4,9
Prodej
na splátky
EM 150L EC 01

EM 150L EC 01

Jak vybrat ventilátor Ruck Etamaster
Ventilátory Ruck Etamaster patří mezi nejspolehlivější potrubní ventilátory pro odvětrávání domácích i komerčních prostor. Vyznačují se vysokým tlakem, tichým chodem a dlouhou životností. Využívají diagonální oběžné kolo optimalizované pomocí CFD simulací, díky čemuž zvládnou efektivně dopravovat vzduch i na delší vzdálenosti potrubím.
1-rychlostní vs. 3-rychlostní provedení
Ventilátory do potrubí Ruck Etamaster jsou dostupné v různých variantách podle způsobu regulace otáček.
- 1-rychlostní verze
– ventilátor běží stále na plný výkon, je ideální pro aplikace, kde není potřeba měnit průtok vzduchu.
– jednoduché zapojení, spolehlivý a bezúdržbový provoz. - 3-rychlostní verze
– umožňuje přepínání mezi třemi výkonovými stupni, podle potřeby intenzity odtahu.
– vhodná pro koupelny, kuchyně či kanceláře, kde se střídá různá intenzita větrání.
– přepínání se provádí externím ovladačem nebo přímo při zapojení ventilátoru.
Pokud potřebujete flexibilní řízení výkonu, zvolte 3-rychlostní model. Pro jednoduché a trvalé odvětrávání postačí 1-rychlostní varianta.
AC motor vs. EC motor
Potrubní ventilátory Ruck Etamaster jsou dostupné ve dvou variantách motorů:
- AC motor (střídavý)
– Spolehlivé a cenově dostupné řešení pro běžné aplikace.
– Ideální do koupelen, kuchyní nebo menších provozů, kde není potřeba plynulá regulace.
– Možnost regulace otáček pomocí transformátoru. - EC motor (elektronicky komutovaný)
– Nejmodernější a nejúspornější typ motoru.
– Až o 30–50 % nižší spotřeba energie než AC motor.
– Extrémně tichý chod a dlouhá životnost.
– Možnost plynulé regulace výkonu pomocí napěťového nebo analogového signálu.
– Ideální pro trvalý provoz, rekuperační systémy nebo komerční objekty.
EC motory doporučujeme tam, kde se ventilátor používá často nebo nepřetržitě – návratnost vyšší pořizovací ceny je velmi rychlá díky nižší spotřebě.
Kabel zepředu nebo z boku
Každý model Etamaster se liší umístěním napájecího kabelu:
- Kabel z boku – vhodný pro běžnou montáž na stěnu nebo do potrubí, kde je kabel přiveden z boku. Umožňuje snadnou instalaci i do těsných prostor.
- Kabel zepředu – ideální tam, kde je ventilátor instalován těsně u zdi nebo je přístup omezený z boku. Umožňuje připojení přímo z čelní strany, což usnadňuje servis nebo výměnu.
Oba typy jsou technicky shodné – rozdíl je pouze v orientaci přívodu kabelu, což usnadňuje montáž podle konkrétní situace.
Etamaster – výkonný ventilátor do potrubí
Řada Ruck Etamaster zahrnuje široké spektrum výkonů i průměrů potrubí od 100 do 400 mm. Díky diagonální konstrukci nabízí vysoký tlak vzduchu i při delším potrubí, a proto se skvěle hodí jak pro menší koupelny, tak pro rozsáhlé ventilační rozvody v průmyslu nebo komerčních budovách.
Hlavní výhody řady Etamaster:
- Vysoce účinná aerodynamika optimalizovaná pomocí CFD
- Tichý provoz i při vysokém výkonu
- Teplotní odolnost dopravovaného média až +40/60 °C
- Kryt z nárazuvzdorného vyztuženého polypropylenu
- Možnost montáže v jakékoliv poloze (vodorovně i svisle)
- Dlouhá životnost a bezúdržbový provoz
Díky těmto vlastnostem patří Etamaster mezi nejpoužívanější potrubní ventilátory na trhu – ideální pro odtah vlhkosti, pachů a tepla z obytných i technických prostor.
Doplňkové parametry
| Kategorie: | Axiální ventilátory |
|---|---|
| Název: | EM 150L EC 01 |
| Kód: | 128588 |
| Výrobce: | Ruck Ventilatoren |
| Napojení: | Ø 150 mm |
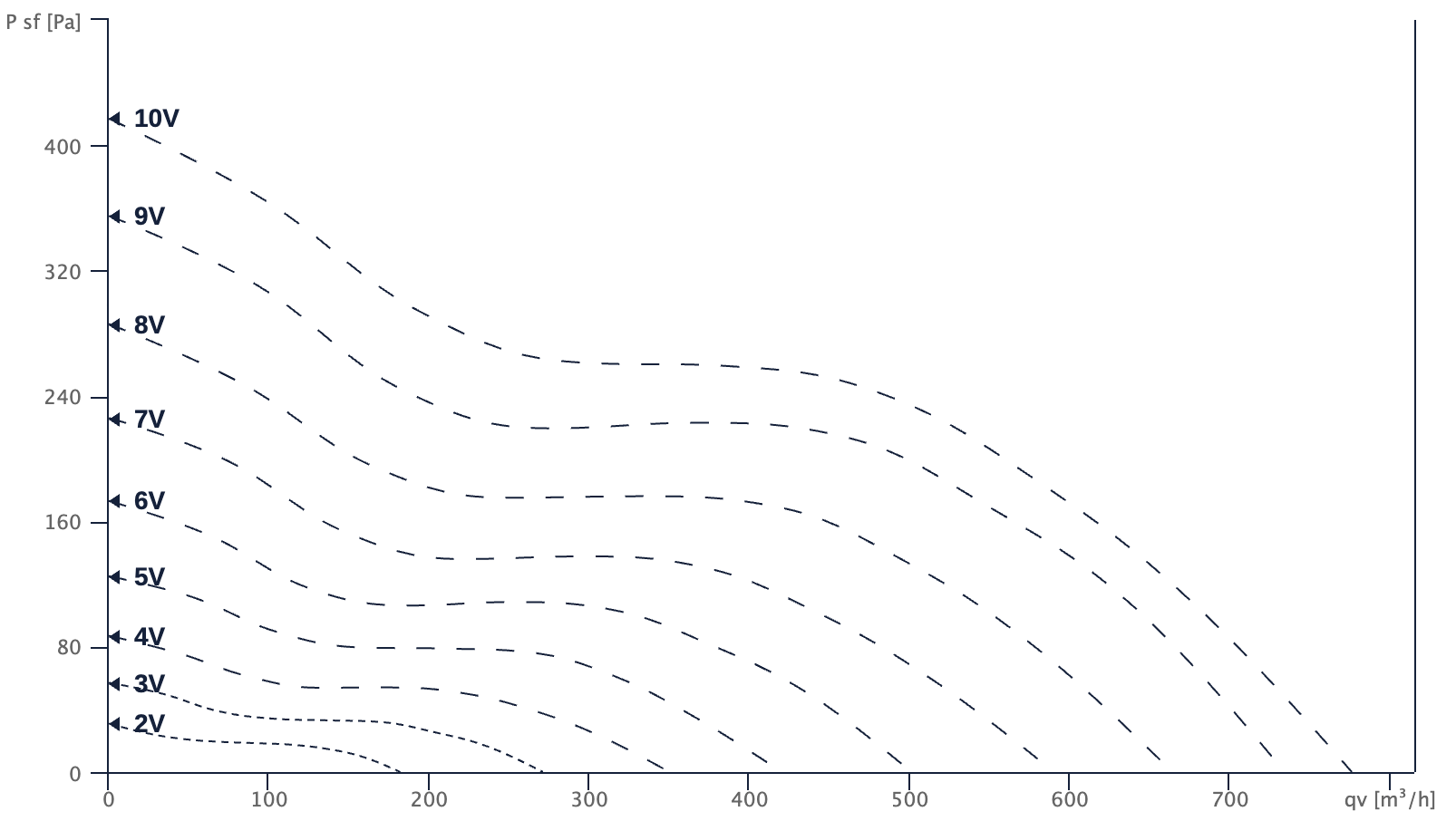
| Průtok: | 780 m3/h |
| Typ motoru: | EC |
| Počet rychlostí: | 1 |
| Materiál: | Plast |
| Krytí IP: | IPX4 |
| Max. teplota média: | 45 °C |
| Max. teplota prostředí: | 45 °C |
| Min. teplota prostředí: | -30 °C |
| Napájení: | 230 V |
| El. proud: | 0,6 A |
| El. příkon: | 67 W |
| Hlučnost: | 57 dB |
| Hmotnost: | 2,4 kg |
| #kamarádi: | 3 |
| #slozeni: | Typ motoru |
| #slozeni_1: | Napojení / Průtok / Napájení / Počet rychlostí |
Buďte první, kdo napíše příspěvek k této položce.
Buďte první, kdo napíše příspěvek k této položce.