RS 200 Ø 100 - Ø 315
Radiální potrubní ventilátor Ruck RS 200 je vysoce výkonné řešení pro vzduchotechnické systémy s vyššími tlakovými ztrátami. Díky radiálnímu oběžnému kolu dosahuje silného tlaku vzduchu, což ho činí ideálním pro delší potrubní rozvody, členité trasy i náročnější instalace. Robustní kovová konstrukce zajišťuje dlouhou životnost, spolehlivý provoz a odolnost i při trvalém zatížení. Ventilátory řady RS jsou vhodné pro komerční i průmyslové použití, kde je kladen důraz na výkon, stabilitu a efektivní odvětrávání.
Vlastní produkty
z naší výroby
Provádíme montáže
i jádrové vrtání
2 prodejny v Praze
Palmovka a Žižkov
Ověřený obchod
hodnocení 4,9
Prodej
na splátky
RS 200

RS 200

Jak vybrat radiální potrubní ventilátor Ruck RS
Ruck RS jsou profesionální radiální potrubní ventilátory navržené pro vzduchotechnické systémy s vyššími tlakovými ztrátami. Díky radiálnímu oběžnému kolu vytvářejí vyšší tlak než běžné axiální ventilátory, a jsou proto ideální pro delší potrubní rozvody, členité trasy, filtrační boxy, rekuperační jednotky i průmyslové aplikace. Řada RS je známá svou robustní kovovou konstrukcí, dlouhou životností a stabilním výkonem i při trvalém zatížení.
Pokud hledáte spolehlivý ventilátor do potrubí pro náročnější provoz, kde běžné potrubní ventilátory ztrácí výkon, modely Ruck RS jsou osvědčenou volbou.
Radiální konstrukce = vyšší tlak pro delší potrubí
Na rozdíl od axiálních ventilátorů využívají ventilátory Ruck RS radiální oběžné kolo, které dokáže překonat vyšší odpor vzduchotechnického potrubí. To znamená:
- stabilní průtok vzduchu i při delších trasách
- lepší výkon při použití filtrů, klapek a tlumičů hluku
- vhodné řešení pro členité a složité rozvody vzduchu
Díky tomu jsou radiální ventilátory Ruck RS často používány ve komerčních objektech, restauracích, kancelářských budovách, dílnách i menších průmyslových provozech.
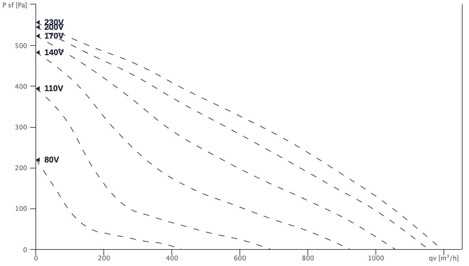
AC motor vs. EC motor
Řada Ruck RS je dostupná s klasickými AC motory i moderními EC motory.
AC motor (střídavý)
- cenově dostupné a osvědčené řešení
- vhodné pro běžné aplikace bez náročné regulace
- možnost regulace pomocí transformátorového regulátoru
EC motor (elektronicky komutovaný)
- výrazně nižší spotřeba energie
- tišší chod a vyšší účinnost
- plynulá regulace výkonu (např. 0–10 V signál)
- ideální pro trvalý provoz a moderní vzduchotechnické systémy
Pokud požadujete energeticky úsporné větrání s možností přesného řízení výkonu, doporučujeme varianty s EC motorem.
Robustní konstrukce a dlouhá životnost
Ventilátory Ruck RS jsou navrženy pro dlouhodobý provoz i v náročnějších podmínkách. Pevná kovová skříň minimalizuje vibrace, chrání motor a zajišťuje stabilní výkon. Precizně vyvážené oběžné kolo přispívá k nižší hlučnosti a plynulému chodu.
Vybrané modely umožňují dopravu vzduchu o teplotě až +80 °C, což je důležité například při odvětrávání teplejších provozů nebo technologických místností.
Typické použití ventilátorů Ruck RS
Radiální potrubní ventilátory Ruck RS se používají zejména tam, kde je potřeba vyšší tlak a spolehlivý výkon:
- větrání komerčních prostor
- odvětrávání restaurací a kuchyní
- kancelářské budovy a zasedací místnosti
- dílny a menší průmyslové provozy
- systémy s filtry nebo tlumiči hluku
Hlavní výhody ventilátorů Ruck RS
✔ radiální potrubní ventilátor s vysokým tlakem
✔ ideální pro dlouhé a členité potrubní trasy
✔ robustní kovová konstrukce s dlouhou životností
✔ vhodné pro komerční i průmyslové použití
✔ stabilní výkon i při vyšších tlakových ztrátách
✔ možnost provedení s úsporným EC motorem
✔ spolehlivý provoz ve vzduchotechnických systémech
Ruck RS představuje spolehlivý radiální ventilátor do potrubí pro instalace, kde je klíčový výkon, tlak a dlouhodobá odolnost. Ideální volba pro profesionální vzduchotechniku i náročnější komerční projekty.
Doplňkové parametry
| Kategorie: | Radiální ventilátory |
|---|---|
| Název: | RS 200 |
| Kód: | 104209 |
| Výrobce: | Ruck Ventilatoren |
| Napojení: | Ø 200 mm |
| Průtok: | 810 m3/h |
| Typ motoru: | AC |
| Počet rychlostí: | 1 |
| Materiál: | Ocel |
| Krytí IP: | IPX4 |
| Max. teplota média: | 70 °C |
| Max. teplota prostředí: | 70 °C |
| Min. teplota prostředí: | -25 °C |
| Napájení: | 230 V |
| El. proud: | 0,46 A |
| El. příkon: | 100 W |
| Hlučnost: | 59 dB |
| Hmotnost: | 4,05 kg |
| #kamarádi: | 8 |
| #slozeni: | Typ motoru |
| #slozeni_1: | Napojení / Průtok / Napájení / Počet rychlostí |
Buďte první, kdo napíše příspěvek k této položce.
Buďte první, kdo napíše příspěvek k této položce.